扫描NV探针显微镜(SNVM),不止磁畴!
扫描NV探针显微镜(Scanning NV Microscope, SNVM)以金刚石中的氮-空位(NV)色心为量子探针,是扫描探针显微镜家族中极具特色的量子精密测量仪器。其核心优势在于对磁场信号的纳米级空间分辨率与单电子级灵敏度探测。从物理机制来看,磁场的产生主要源于电子自旋、电荷的移动及交变电场三类过程,分别对应磁性材料磁畴、导体电流与微波场的物理本质。
近年来,扫描NV探针显微镜(SNVM)的技术能力不断拓展,不仅在纳米尺度磁畴成像方面取得显著成果,更拓展至电流分布表征、自旋波探测、电场与温度测量等多个前沿领域,取得了一系列关键技术进展 。本文将结合国仪量子SNVM的应用实例,系统阐述该技术在上述领域的原理与实践价值。
01 电流分布的高分辨表征:从芯片到电池的微观探测
基于毕奥-萨伐尔定律,电流产生的磁场可被NV色心高灵敏度捕获,结合傅里叶滤波算法可实现电流密度分布的定量重构。相较于传统测电流成像方法,SNVM具备室温操作、~30 nm高空间分辨率及非接触式探测的核心优势,有效规避了低温环境依赖与样品损伤风险。
在探测性能方面,SNVM对直流(DC)电流的探测下限可达微安(μA)量级;针对交流(AC)电流,结合Hahn echo脉冲序列可将探测极限降至1 μA以下;若采用碳-12同位素纯化的NV探针并辅以重复读出技术,理论探测极限可进一步突破至纳安(nA)量级。这一性能使其在芯片失效分析、凝聚态物理电输运研究及新能源电池缺陷检测中具备不可替代的应用价值。
SNVM电流成像示意图[1]。

SNVM对电流进行成像(测试仪器:国仪量子SNVM)。
1.芯片失效性分析
在芯片工作状态下,SNVM通过对电流磁场的高分辨成像,可实现故障溯源、硬件木马检测及芯片表面与内部电流密度分布表征。值得注意的是,基于系综NV色心的量子钻石显微镜(Quantum Diamond Microscope, QDM)具备毫米(mm)级成像视野,与SNVM的纳米级分辨率形成互补,可实现“宏观定位-微观溯源”的全尺度分析。
下图利用QDM对两个在光学显微镜下相同的器件中的电流密度进行成像,快速区分正常器件与缺陷器件。并通过电流密度矢量分析,得出缺陷是在电路板第二层,然后通过传播影响到外层。
左图:光学显微镜下器件。右图:利用量子钻石显微镜对电流密度成像[2]。
下图是利用国仪量子的量子钻石显微镜对555定时器芯片工作状态下电流进行成像,为芯片功能验证提供直观的微观证据。
芯片表面磁场分布。
对于先进制程芯片(晶体管尺寸已达纳米级),SNVM展现出对单个晶体管载流子电磁场的探测潜力。这一能力对器件失效缺陷定位、退化规律研究及摩尔定律的延续具有关键支撑作用,为半导体工艺优化提供微观尺度的量化依据。
2.二维材料电输运性质
在凝聚态物理领域,SNVM为二维材料电输运性质研究提供了直接的微观观测手段。2021年,哈佛大学研究团队利用SNVM对石墨烯中电流密度的高灵敏度成像,在室温条件下观测到粘性“狄拉克”流体现象,为强关联电子体系的流体动力学输运理论提供了关键实验证据[3]。2024年,苏黎世联邦理工大学团队进一步通过SNVM发现石墨烯中的电流漩涡现象:在小尺寸器件(半径R≤1.0 μm)中,电流漩涡特征显著;而在大尺寸器件(R=1.5 μm)中,该现象完全消失。这一结果直接验证了流体动力学模型中“漩涡存在性与器件尺寸及Gurzhi长度相关”的理论预测,为二维材料输运机制研究提供了新的观测视角。
左图:石墨烯中电流密度分布,通过定量分析,发现电流有“粘性”。右图:封装式单层石墨烯(hBN-MLG-hBN)器件与稳态电流涡旋[4]。
3.电池缺陷检测
在新能源电池研究中,正负极材料在100 mT外磁场诱导下,于50 nm距离处可产生约10 μT的磁场信号;在高电流密度(23.50 mA·cm⁻²)工况下,枝晶附近的电流集中效应会使局部磁场增强至几nT量级。基于这一物理特性,SNVM可在纳米尺度上定量成像电池内部离子与电子的电流分布,并同步探测电化学反应过程。
该技术能够实现电池非均相氧化还原反应、埋层电流分布及抗短路能力机理的空间分辨分析,为深入理解电池非均质性与退化机制提供全新研究手段。其无损探测特性也为电池动态性能研究与寿命优化提供了重要技术支撑。
NV与正极表面处于不同距离时,来自LixCoO2颗粒的磁杂散场(模拟数据)[1] 。
02 自旋波探测:新一代信息器件的量子表征工具
自旋波是磁性材料中自旋有序排列受扰动后形成的集体激发态,其量子化单元“磁子”因低能耗、高频响应的特性,成为新一代信息存储与运算器件的核心候选载体。NV色心作为高灵敏度量子磁传感器,为自旋波的局域探测与定量分析提供了理想技术方案。
1.铁磁共振
铁磁共振(FMR)是铁磁材料中电子自旋磁矩在微波磁场作用下的共振跃迁现象,传统FMR观测需复杂的微波电路与探测系统,而SNVM可通过NV色心的荧光响应直接捕获FMR信号。其物理机制为:FMR诱导的磁子-磁子散射会产生自旋波噪声,导致NV色心自旋弛豫速率改变,进而引发荧光强度的可探测变化。通过分析荧光信号的频率依赖特性,可直接获取材料的FMR谱,为磁子化学势与传输性质研究提供量化数据。
利用NV得到YIG的铁磁共振谱[5]。
利用NV测样品铁磁共振谱时,需要注意区分NV激发态峰与微波功率放大器倍频效应引起的额外的峰。如图所示,峰分为是NV激发态的峰、样品铁磁共振引起的峰、基态ms=0到ms=-1的跃迁峰、基态ms=0到ms=+1的跃迁峰。
测试设备:国仪量子SNVM。外加磁场25 mT。
国仪量子SNVM软件版本支持磁体的自动磁场调节功能,可直观呈现光探测磁共振谱(ODMR/ESR/CW)峰与FMR峰随外磁场的演化规律,曾实现外磁场沿NV轴方向的精准调控,最终稳定在31 mT的目标值,有效提升了FMR谱的信噪比与准确性。
NV色心的CW谱峰随外磁场变化。
2.自旋波与微波
自旋波能引起NV拉比振荡(Rabi)频率的变化,Rabi振荡增强最显著是在FMR与ODMR交点附近,调节合适外磁场,施加微波(MW)驱动样品自旋波激发,样品的自旋会产生响应,并在 NV的位置处产生一个交变磁场,该磁场会与微波磁场分量发生干涉,这一总交变磁场驱动 NV的拉比振荡。因此,利用自旋波增强微波,可以通过NV的ODMR谱对比度进行成像或者Rabi频率进行定量分析。
利用SNVM的连续波(CW)对比度成像与拉比频率成像功能,可实现自旋波传输过程的空间分辨观测。例如,在25 mT外磁场下,激发2.17 GHz的自旋波时,可清晰捕获空间ODMR对比度的分布特征;同时,拉比频率随与微波带状线距离的变化规律也可被定量表征。此外,国仪量子SNVM还成功实现了芯片表面微波场分布的成像,为微波器件的阻抗匹配与场分布优化提供微观依据。
自旋波传输的磁共振成像[6]。上图是激发频率为 2.17 GHz 的自旋波时,在 B₀ = 25 mT 下的空间 ODMR 对比度,比例尺20 μm。下图是Rabi频率与到带状线距离的关系。
左图:金刚石NV探针的Rabi信号。右图:利用Rabi对芯片表面微波场分布进行成像。(测试仪器:国仪量子SNVM)
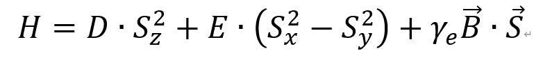
NV自旋的哈密顿量:

第一项零场分裂参数D与温度和压强有关,第二项E与电场、应力有关,第三项中的B是磁场。这一物理特性使NV色心成为天然的多物理量量子传感器,可实现电场、温度与压强的高灵敏度探测。下表是各物理量的耦合系数与典型灵敏度。

1.电场
电场探测的核心挑战在于样品背景磁场的干扰与金刚石表面缺陷的静电屏蔽效应。为解决磁场干扰问题,可通过施加横向磁场,使斯塔克效应(电场诱导的能级分裂)取代塞曼效应(磁场诱导的能级分裂),成为NV色心能级偏移的主导机制,从而实现电场与磁场的有效解耦。
针对金刚石表面缺陷的静电屏蔽问题,可采用“扫描梯度成像”技术:使NV色心随石英音叉进行周期性振荡,通过同步序列发生器(ASG)实现音叉振荡与探测序列的时间同步,将静态电场测量转化为交变电场测量,有效规避表面缺陷的屏蔽影响。利用NV高空间分辨率与定量无损的特点,可以在微观尺度上对三维电场矢量重构与表面电荷密度计算,为多铁性材料(BiFeO3)的电磁场关联成像及低功耗器件(比如铁电斯格明子)研究奠定基础。
样品:PZT 薄膜,极化强度 P≈75 μC cm⁻²。左图是压电力显微镜(PFM)测量结果,右图是SNVM测量结果,表明PFM与SNVM结果一致[7]。
电场引起的NV色心Rabi震荡[8]。(测试仪器量子钻石单自旋谱仪原型机)
2.温度
SNVM的温度测量功能具备两大核心优势:一是可通过哈密顿量中零场分裂参数D的温度依赖性,实现温度与磁场的完全解耦;二是相较于传统红外成像技术,其空间分辨率与灵敏度显著更高。
在生命科学领域,SNVM可用于细胞代谢过程中的局部温度变化探测[9],以及线粒体呼吸链的热效应分析;在半导体领域,可精准定位芯片工作时的局部发热区域,为器件热失效缺陷的识别与散热设计优化提供量化依据[10]。实验数据显示,在不同距离热源的位置,温度变化引发的NV色心共振峰偏移显著,表明温差可达50 K;而成像对比度的差异则反映了样品不同区域背景荧光的分布特征,为多物理量关联分析提供了补充信息。
芯片发热引起的D值变化(测试仪器:国仪量子SNVM)
参考文献:
1.Pollok, S. et al. Magnetic microscopy for operando imaging of battery dynamics. Nat. Commun. 16, 8303 (2025).
2.Garsi, M. et al. Three-dimensional imaging of integrated-circuit activity using quantum defects in diamond. Phys. Rev. Appl. 21, 014055 (2024).
3.Ku, M. J. H. et al. Imaging viscous flow of the Dirac fluid in graphene. Nature 583, 537–541 (2020).
4.Palm, M. L. et al. Observation of current whirlpools in graphene at room temperature. Science 384, 465–469 (2024).
5.Du, C. et al. Control and local measurement of the spin chemical potential in a magnetic insulator. Science 357, 195–198 (2017).
6.Bertelli, I. et al. Magnetic resonance imaging of spin-wave transport and interference in a magnetic insulator. Sci. Adv. 6, eabd3556 (2020).
7.Huxter, W.S., Sarott, M.F., Trassin, M. et al. Imaging ferroelectric domains with a single-spin scanning quantum sensor. Nat. Phys. 19, 644–648 (2023).
8.Cheng, Z. et al. Radio-frequency electric field sensing based on a single solid-state spin. Phys. Rev. Appl. 19, 014057 (2023).
9.Wu, T. et al. Intracellular thermal probing using aggregated fluorescent nanodiamonds. Adv. Sci. 9, 2103354 (2022).
10.Chen, G. et al. Diamond nitrogen-vacancy color-centered thermometer for integrated circuit application. Rev. Sci. Instrum. 94, 104901 (2023).
NV 诚邀体验 纳米级磁成像系统
国仪量子诚邀您体验扫描NV探针显微镜(SNVM)——全球领先的纳米级磁场成像系统,温度1.8~300 K,矢量磁场9/1/1 T,磁空间分辨率达10 nm,磁灵敏度2 μT/Hz1/2。

国仪量子具有丰富的样品测试经验,支持现场考察和寄样测试。如您有相关样品测试需求,欢迎扫描下方二维码或邮件联系工程师(sunh@ciqtek.com)。
如您有采购需求欢迎联系我们!

